相思资源网 Design By www.200059.com

《雷霆远征》游戏中仲裁者兵种怎么样?仲裁者是游戏中的核心,控制着整体的战斗节奏,很多玩家表示不知道仲裁者的特色是什么,那么接下来小编为大家带来《雷霆远征》仲裁者兵种攻略,一起来看看吧。

一、仲裁者的定位和作用

1、兵种定位

在原铸星际战士部队中,存在着一个核心力量——仲裁者,他们依靠着更强的身体与更先进的装备弥补了与其他星际战士部队之间的经验差距,在一个队伍中因为有了他们,才有了爆炸的输出伤害,并且自从仲裁者们被原体基利曼启用以来,他们就用手中的暴矢步枪证明着自己同样是帝皇怒火的化身。

作为一个攻击能力大于先锋老兵,处于中上水准的兵种,前期发育他也是个不错的选择。但同时存在着双刃剑,和较高的输出相比,仲裁者的防御能力较低,在战斗中容易成为最快被消耗的对象,因此不适合于在目标血量较高的时候出场,可以考虑在敌方残血时给出致命一击。

2、被动技能

仲裁者的两个被动技能同样值得关注,火力压制可以对先锋老兵伤害增加15%,坦克者能对猎食者伤害增加20%。

二、先锋老兵的等级与属性

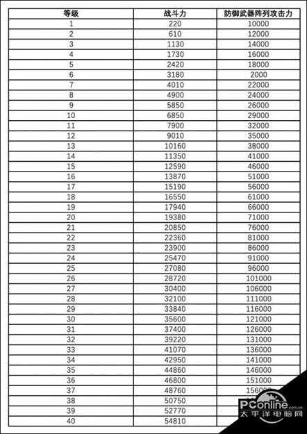
虽然看上去仲裁者的攻击力还不错,可以被归为输出类型,但他的防御能力却是最低的,并且在前期和先锋老兵、无畏机甲的攻击力相差不大。

雷霆远征  仲裁者兵种攻略【详解】

在消耗晋级资源上,相较于先锋老兵和无畏机甲,仲裁者需要的金属数量是最多的,在前期金属获取效率不高的情况下,如果过多的利用金属去发育仲裁者,并不是一件性价比高的事情,甚至会影响到整体的发展进度。

但是,从上面的属性数据来看,仲裁者要发育到level 5才能有明显的攻击提升,和先锋老兵以及无畏机甲拉开差距,所以他的爆发是在中后期的,因此,在前期不太推荐优先训练仲裁者。

标签:

相思资源网 Design By www.200059.com
广告合作:本站广告合作请联系QQ:858582 申请时备注:广告合作(否则不回)
免责声明:本站文章均来自网站采集或用户投稿,网站不提供任何软件下载或自行开发的软件! 如有用户或公司发现本站内容信息存在侵权行为,请邮件告知! 858582#qq.com
相思资源网 Design By www.200059.com

评论“雷霆远征 仲裁者兵种攻略【详解】”

暂无雷霆远征 仲裁者兵种攻略【详解】的评论...

稳了!魔兽国服回归的3条重磅消息!官宣时间再确认!

昨天有一位朋友在大神群里分享,自己亚服账号被封号之后居然弹出了国服的封号信息对话框。

这里面让他访问的是一个国服的战网网址,com.cn和后面的zh都非常明白地表明这就是国服战网。

而他在复制这个网址并且进行登录之后,确实是网易的网址,也就是我们熟悉的停服之后国服发布的暴雪游戏产品运营到期开放退款的说明。这是一件比较奇怪的事情,因为以前都没有出现这样的情况,现在突然提示跳转到国服战网的网址,是不是说明了简体中文客户端已经开始进行更新了呢?